Soalan Spm Addmath 2019 Kertas 1

Soalan spm, soalan spm 2018, soalan spm 2019, soalan spm psv, soalan spm moral, soalan spm sains, soalan spm online, soalan spm sebenar, soalan spm matematik, soalan spm asas nombor, soalan spm sebenar 2018, soalan spm sebenar 2019, soalan spm sejarah 2018, soalan spm matematik 2018, soalan spm bahasa inggeris, soalan spm pendidikan islam, soalan spm bm kertas 2, soalan spm psv kertas 1, soalan spm pendidikan islam 2018, soalan spm matematik terengganu, soalan spm kimia tingkatan 4,


Koleksi Kertas Soalan Percubaan Spm 2018 Cikgujep via cikgujep.com
Koleksi Kertas Soalan Percubaan SPM 2018  cikgujep

Contoh Soalan Spm Ekonomi Asas Kertas 2 - Lock Down D via lockdownd.blogspot.com
Contoh Soalan Spm Ekonomi Asas Kertas 2 - Lock Down d

Soalan Spm 2019 Addmath - Kecemasan F via kecemasanf.blogspot.com
Soalan Spm 2019 Addmath - Kecemasan f

Jawapan Soalan Spm Add Math 2019 - Kecemasan T via kecemasant.blogspot.com
Jawapan Soalan Spm Add Math 2019 - Kecemasan t

Soalan Percubaan Spm 2019 Terengganu Prinsip Perakaunan via kecemasani.blogspot.com
Soalan Percubaan Spm 2019 Terengganu Prinsip Perakaunan

Kertas Soalan Matematik Tambahan Spm 2015 - Desktop Pc's Amd via desktop-pcs-amd5.blogspot.com
Kertas Soalan Matematik Tambahan Spm 2015 - Desktop PC's AMD

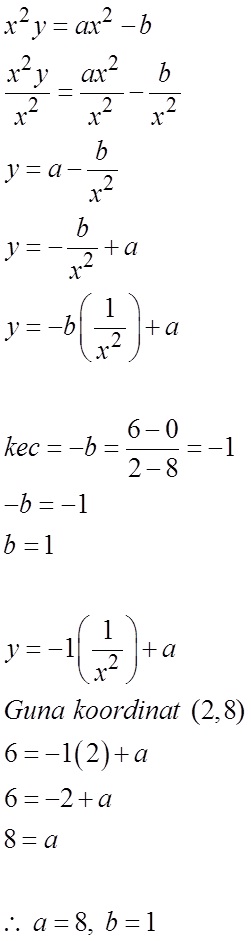
Matematik Tambahan: Hukum Linear via cgrazakabdrahman.blogspot.com
Matematik Tambahan: Hukum Linear

Koleksi Soalan Percubaan Spm Negeri 2011 Cikgujep via cikgujep.com
Koleksi Soalan Percubaan SPM Negeri 2011  cikgujep

Contoh Soalan Spm Sebenar - Malacca W via malaccaw.blogspot.com
Contoh Soalan Spm Sebenar - Malacca w

Soalan Matematik Cari Nilai X - J Kosong V via jkosongv.blogspot.com
Soalan Matematik Cari Nilai X - J Kosong v

Analisis Soalan Add Math - Persoalan O via persoalano.blogspot.com
Analisis Soalan Add Math - Persoalan o

Soalan Matematik Tingkatan 4 Sbp - Persoalan U via persoalanu.blogspot.com
Soalan Matematik Tingkatan 4 Sbp - Persoalan u

Matematik Tambahan: Hukum Linear via cgrazakabdrahman.blogspot.com
Matematik Tambahan: Hukum Linear


Random Image



Related Posts To Soalan Spm Addmath 2019 Kertas 1


Soalan Spm Addmath 2019 Kertas 1 Rating: 4.5 Posted by: kepetmini

Search Here

Popular Posts

Total Pageviews

Recent Posts